|
|
RCK Ruđera Boškovića - mobilna / uslužna robotika
|
Priručnik - Podvodna robotika
KLASIFIKACIJA PODVODNIH RONILICA
Potreba za istraživanjem mora dovela je do razvoja podvodnih ronilica, ali i dovela do problema s kojima se te ronilice moraju suočavati. Zato su ljudi u potrazi za rješenjima razvili par tipova ronilica- one koje su upravljane direktno ljudima, ronilice na daljinsko upravljanje (remotely operated underwater vehicles- ROV) i autonomne ronilice (autonomus underwater vehicle- AUV). Bespilotne ronilice (ROV i AUV), kojima se ovaj seminar bavi, sastoje se od potisnica za pogon, unutrašnjeg računala, kamera sa svjetlima i metalnog tijela punjenog posebnom pjenom koja omogućuje postizanje željene dubine (to su osnovni elementi ronilica). Ovisno o zadaći koju ronilica treba obaviti dodavaju se razni alati poput mehaničke ruke, senzora za toplinu, bioloških senzora, sonara za mapiranje podmorja i raznih drugih alata koji omogućuju izvršavanje zadataka.
Podvodna ronilica na daljinsko upravljanje (ROV)
Podvodna ronilica na daljinsko upravljanje, tzv. ROV, koristi se u situacijama kada postoji potencijalna opasnost za ljudski život pri istraživanju i radu u podmorju. Primjeri takvih situacija su ekološke katastrofe, istraživanje potonulog vojnog materijala ili rad u velikim dubinama i na visokoj temperaturi. ROV radi tako da je upravljana od strane čovjeka koji se nalazi na istraživačkom brodu.
Znači, ronilica se spusti u more i od tada samostalno plovi ali je upravljana iz neke centrale od strane operatera te podatke prenosi bežično ili preko kabla koji povezuje ronilicu i njezinu centralu. ROV ronilice možemo podijeliti na više podvrsta- mikro (do 5 kg), mini (do 15 kg), opće (snaga motora do 5 KS), lagane radne (snaga motora do 15 KS), radne (snaga motora do 200 KS) i teške ronilice (snaga motora od 200-500 KS). Ovisno o težini i specifikacijama zadatka koriste se i prikladne ronilice. Najčešće su u upotrebi opće i lagane radne ronilice koje se koriste pri jednostavnijim istraživačkim misijama, radne i teške ronilice su u upotrebi za eksploataciju mora (naftne bušotine) ili za sanacije ekoloških katastrofa, dok su mikro i mini pronašle veliku komercijalnu upotrebu u ulozi hobija i zabave. ROV ronilice danas se najviše koriste u ulogama istraživačkih ronilica ili kao sanacija ekoloških katastrofa (jedna od najmasovnijih akcija s ronilicama ikad je saniranje izljeva nafte u bušotini „Deepwater horizon“ u Meksičkom zaljevu 2010. godine).
Pri istraživačkim misijama koriste se lagane i opće ronilice, koje imaju veliku pokretljivost i dugotrajnu bateriju. One su opremljene sa dodacima bitnima za prikupljanje podataka („epruvete“, mehaničke ruke, senzori topline i plinova, detektori biološkog života, sonari, snažni CPU procesori, magnetometar, kamere visoke rezolucije i jaka led svjetla...). Također, zbog rada u ekstremnim uvjetima poput velikog tlaka pri dubinama od par tisuća metara ili toplinama blizu podvodnih vulkana ove su ronilice sagrađene od iznimnih izdržljivih materijala. U radnim misijama raširena je upotreba radnih i teških ronilica zbog svojih karakteristika izdržljivosti i velike snage. Takve su ronilice opremljene radnim alatima koje koriste pri sastavljanju podvodnih bušotina ili drugih objekata, ali i sanaciji naftnih mrlja.
Autonomna podvodna ronilica (AUV)
Razvojem računalne tehnologije došlo je do mogućnosti nastanka podvodnih ronilica koje nisu upravljane od strane čovjeka već su potpuno autonomne. To su AUV ronilice koje rade na principu današnjeg računala- zada im se zadatak i one ga samostalno izvrše. Ronilica se isprogramira u bazi za odradu određenog zadatka, te se tada samo pusti u more i ona sama obavlja posao za koji je zadužena i u sebe sprema obrađene podatke. Takve se ronilice koriste za mapiranje podmorja, otkrivanje novih naftnih (ili eksploatacijski korisnih) izvora, detekciju podvodnih mina i olupina. Danas su sve više u upotrebi baš zbog rastuće potražnje za podvodnom naftom.
Takva ronilica se razlikuje od ROV-ova po tome što nije toliko kvalitetno opremljena, ali je puno izdržljivija i time se povećava njena korisnost. AUV ronilice samostalno rade po par dana (neke čak i tjednima!) i tek tada se vraćaju u bazu kako bi donijele prikupljene informacije. U zadnje vrijeme se isprobava sustav tzv. „podvodnih garaža“ koje plutaju pod vodom i služe kao punjači za AUV ronilice i preuzimaju njihove podatke te šalju satelitu, a time se smanjuje potreba za ljudskim djelovanjem. AUV ronilice se koriste puno manje pri velikim dubinama, ali pokrivaju velika područja u jednom zaronu.
Zato nije potrebno da imaju jako izdržljivo kućište niti vrlo precizne mjerne uređaje, već je bitna izdržljivost baterije i količina memorijskog prostora te brzina obrade podataka. Upravo te kvalitete AUV podmornica omogućuju dug rad pod vodom i izravnu obradu podataka koje se dostavljaju u bazu. Neki od vodećih proizvođača AUV ronilica su američke firme „iRobot corp.“, „Liquid robotics“ i „Teledyne technologies“. Na njih otpada preko 50% proizvodnje kvalitetnih AUV ronilica. Sve češći kupci AUV ronilica su upravo naftne kompanije (npr. „Shell“) koje koriste AUV-ove pri istraživanju podmorja u potrazi za novim izvorima nafte. Ronilice koje se koriste pri takvim istraživanjima su „podvodne jedrilice“ i „solarne jedrilice“. Podvodne jedrilice sadrže jaku bateriju i one rade na principu zarananja i korištenja morskih struja za jedrenje podmorjem. Koriste se za mapiranje podmorja i pronalaženje olupina.
Prije su radile tehnikom „mowing lawn“, tj išle su cik-cak po podmorju i snimale, ali danas se razvitkom softwera koriste algoritmi koji procjenjuju putanju ronilice na temelju traženih podataka (npr. ako traži naftu, onda temeljito pregledava područje bogato plinovima a inače plovi dalje).
Solarne jedrilice se napajaju preko solarnih panela na svojoj gornjoj plohi te im zato nisu potrebne „garaže“ za punjenje. One ipak nisu predviđene za velike dubine, jer solarni paneli ne mogu izdržati veliki pritisak. Solarne se jedrilice koriste pri mapiranju podmorja jer su opremljene snažnim sonarima i često su spojene direktno na satelite i odašilju „live-feed“ informacije. Zato su vrlo korisne također i pri ekološkim misijama jer daju stanje na terenu.
Otpor i propulzija AUV i ROV sustava
Da bi brod mogao ploviti traženom brzinom potrebno je svladati silu otpora broda u plovidbi. Tu silu mora stvoriti propulzor broda. Potrebna snaga za pogon broda ovisi o otporu koji trup broda pruža gibanju i o iskoristivosti propulzora koji stvara silu poriva. Proračun sile otpora broda ima značajno mjesto u projektu broda i utječe na odabir pogonskog postrojenja, odabir glavnog pogonskog stroja i brodskog vijka. Na otpor broda utjecaj imaju brzina plovidbe, istisnina i oblik trupa broda.
Oblikovanjem trupa nastoji se smanjiti otpor dok se djelotvornost propulzora osigurava oblikovanjem krmenog dijela broda i projektiranjem optimalnog propulzora. Kretanju broda kroz tekućinu suprotstavljaju se hidrodinamičke sile tekućine i aerodinamičke sile zraka.
Ukupna sila otpora broda posljedica je djelovanja tri različita otpora:
- otpora viskoznog trenja,
- preostali otpori koji uključuju otpor valova i otpora virova (iza istaknutih dijelova broda i krme),
- otpora vjetra.
Sile otpora vožnje broda i njihov udio u ukupnoj sili poriva broda Pri plovidbi broda kroz vodu zapažaju se slijedeće osnovne pojave:
- otpora viskoznog trenja,
- preostali otpori koji uključuju otpor valova i otpora virova (iza istaknutih dijelova broda i krme),
- otpora vjetra.
Sile otpora vožnje broda i njihov udio u ukupnoj sili poriva broda Pri plovidbi broda kroz vodu zapažaju se slijedeće osnovne pojave:
- u neposrednoj blizini brodskog trupa formiraju se vrtlozi zbog trenja vode o brodski trup (granični sloj),
- po krmi broda opažaju se veliki virovi,
- stvaraju se valovi koji “prate” brod.
Otpor R je sila u [N] koja se suprotstavlja kretanju broda.
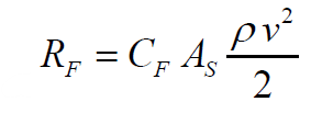
Sila otpora broda zbog viskoznog trenja- RF
Osnovna komponenta ukupnog otpora za većinu brodova te iznosi od 50% do 90% od ukupnog otpora - 70 do 90% kod brodova manje brzine plovidbe (tankeri, brodovi za rasuti teret) ili ponekad manje od 40% kod brodova za velike brzine plovidbe (vitki putnički brodovi).
- Posljedica je viskoznosti vode.
- U tankom sloju vode uz površinu tijela, koji se zove granični sloj, odvija se prijenos energije s broda na okolnu vodu i generiranje otpora trenja.
- Granični sloj se proširuje od krme prema pramcu jer se povećanjem duljine broda sve veća površina vode obuhvaćena trenjem
- Na otpor trenja utječe slijedeće:
- hrapavost vanjske oplate broda, utječe 15 do 20%
- veličina podvodne površine,
- brzina broda,
- dužina broda.
Preostali otpori- RW
- Preostali otpori uključuju otpor valova i otpor virova.
- Otpor valova se odnosi na gubitke energije koju uzrokuju valovi stvorenih od broda.
- Otpor virova se odnosi na gubitke uzrokovane odvajanjem protoka koje uzrokuju vrtlozi posebno na krmi broda i brodski privjesci (ljuljne kobilice, skrokova, kormila, stabilizatori i sl.)
- Otpor valova nastaje zbog otpora vode koja se odupire promjeni vlastitog stanja.
- Povećanjem brzine broda, povećavaju se valovi.
- Valovi se javljaju samo kod brodova koji plove površinom
- Otpor valova ovisi o:
- povećanju brzine (raste veličina i otpor poprečnih valova)
- formi broda,
- povećanjem dužine broda smanjuje se otpor valova,
- pramčanom bulbu – pri većim brzinama smanjuje otpor i do 18%
Sila otpora valova, RW, pri malim brzinama plovidbe proporcionalna je kvadratu brzine. Kod većih brzina plovidbe ona raste mnogo brže.
- Udio sile otpora valova u ukupnoj sili otpora kod sporih brodova je 8 do 25%, dok je kod brzih brodova taj udio jednak 40 do 60%.
- Sila otpora vrtloga, RE, nastaje zbog toga što strujnice vode na krmi ne prianjaju točno uz formu trupa broda. Tlak na krmi nema istu vrijednost kao i tlak na pramcu pa razlika tlakova čini otpor virova.
- Ovisi o brzini i formi krme.
Izračunavanje sile preostalih otpora vrši se na sličan način kao i kod sile trenja, primjenom koeficijenta preostalih otporaCR uz napomenu da vrijednost toga koeficijenta ovisi o brzini plovidbe i dužini broda:
Sila otpora zraka, RA, ovisi o brzini vjetra i izloženoj površini i obliku nadvodnog dijela. Kod mirnog vremena otpor vjetra je približno proporcionalan kvadratu brzine broda i površini sjene nadvodnog dijela broda u smjeru vožnje. Otpor vjetra u takvim uvjetima predstavlja oko 2% ukupnog otpora broda.
- U svrhu smanjenja otpora vjetra potrebno je izgraditi što niže nadgrađe, zaokružiti nadgrađe i dati mu strujni oblik koliko je to moguće, te izvesti strukturu nadgrađa stupnjevanu prema pramcu i prema krmi.
- Otpor vjetra može se dati izrazom baziranim na 90% dinamičkom tlaku zraka brzine, v:
Ukupna sila otpora vožnje ili sila teglja broda (Towing resistance) RT jednaka je sumi svih sila otpora:
Odgovarajuća efektivna snaga potrebna za vožnju ili tegalj broda je:
Stvarna snaga koja je predana brodskom vijku je nešto veća od efektivne snage PE zbog uvjeta protoka oko vijka i njegovog stupnja djelovanja.
Brodski vijak
Na suvremenim brodovima, vijak (propeler) je najrašireniji tip brodskog propulzora i gotovo jedino sredstvo poriva. Možemo ga predočiti kao vijak koji na osovini okreće brodski stroj i tako okrećući se u vodi kao matici, snagu brodskog stroja pretvara u kretanje, tj. ostvaruje poriv.
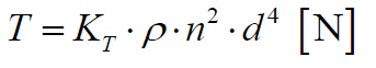
Sila poriva vijka:
gdje je:
T-sila poriva broda, N,
KT-koeficijent poriva,
ρ-gustoća vode, kg/m3,
n-broj okretaja vijka, 1/s
d-promjer vijka, m.
Snaga vijka:
gdje je:
PD-stvarna snaga vijka, W,
Q- zakretni moment vijka, Nm,
ω-kutna brzina vrtnje vijka, rad/s,
Primjedbe